1170 Wien, Halirschgasse 2 – Dachgeschossausbau 2 WNG

1170 Wien, Halirschgasse 2 – Dachgeschossausbau 2 WNG
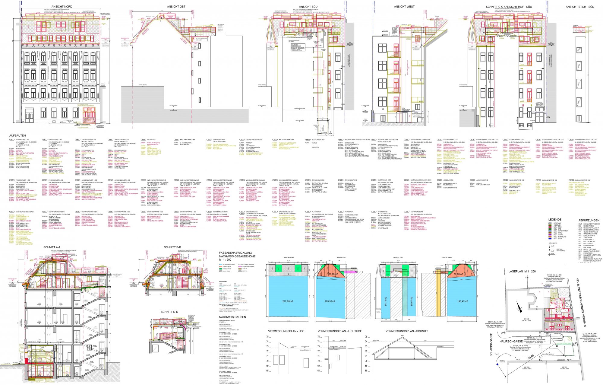
DACHGESCHOSSAUSBAU MIT LIFT, BALKONEN UND STELLPLÄTZEN

Dieser Dachgeschossausbau wurde mit zwei Geschossen realisiert. Durch freie Nutzflächen im Erdgeschoss konnten Stellplätze untergebracht werden. Während der Bewilligungsphase wurde die Immobilie verkauft und vom neuen Eigentümer eine Auswechslungsplanung beauftragt. Alle Wohnung sind barrierefrei und zeugen von einer sinnvollen Raumaufteilung.

Unsere Leistungen: Planungsmanagement, Entwurf, Einreich- und Ausführungsplanung, Energieausweis, Bauphysik und Visualisierung

Kommentare

Noch keine Kommentare.

Jetzt kommentieren